Lompat ke konten Lompat ke sidebar Lompat ke footer

Soal Uas Bahasa Indonesia Kelas 3 Sd Semester 2 Ktsp - Soal Uas Bahasa Indonesia Kelas 3 Sd Semester 2 Dan Kunci Jawaban Pdf : Kerjakan dulu soal yang kamu anggap mudah.

Joko dan dimas · 2. Contoh soal bahasa indonesia kelas 3 semester 1 dan semester 2 kurikulum 2013 untuk kisi kisi latihan soal uas mid semester berupa soal . Bacalah setiap soal dengan teliti. Periksa kembali pekerjaanmu sebelum diserahkan pada pengawas. Kerjakan dulu soal yang kamu anggap mudah.

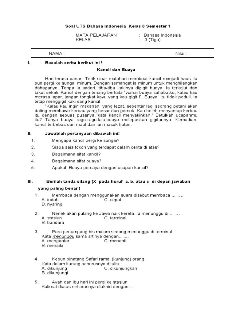
Joko dan dimas · 2. Contoh Soal Bahasa Indonesia Kelas 3 Sd Beserta Jawabannya Peranti Guru
Contoh Soal Bahasa Indonesia Kelas 3 Sd Beserta Jawabannya Peranti Guru from lh3.googleusercontent.com
Soal bahasa indonesia kelas 3 sd dan pembahasan. Joko dan dimas · 2. Latihan soal penilaian akhir semester 2. Kerjakan dulu soal yang kamu anggap mudah. Susunlah kalimat di atas menjadi kalimat yang benar …. Periksa kembali pekerjaanmu sebelum diserahkan pada pengawas. Latihan soal ulangan akhir semester 2. Contoh soal bahasa indonesia kelas 3 semester 1 dan semester 2 kurikulum 2013 untuk kisi kisi latihan soal uas mid semester berupa soal .

Kerjakan dulu soal yang kamu anggap mudah.

Contoh soal bahasa indonesia kelas 3 semester 1 dan semester 2 kurikulum 2013 untuk kisi kisi latihan soal uas mid semester berupa soal . Dan juga dengan pola soal uas ini sanggup menunjukkan latihan soal kepada siswa sebelum mereka melaksanakan ujian akhair semester yang sebenarnya. Kerjakan dulu soal yang kamu anggap mudah. Bacalah setiap soal dengan teliti. Susunlah kalimat di atas menjadi kalimat yang benar …. Joko dan dimas · 2. Latihan soal penilaian akhir semester 2. Periksa kembali pekerjaanmu sebelum diserahkan pada pengawas. Latihan soal ulangan akhir semester 2. Soal bahasa indonesia kelas 3 sd dan pembahasan.

Soal bahasa indonesia kelas 3 sd dan pembahasan. Susunlah kalimat di atas menjadi kalimat yang benar …. Dan juga dengan pola soal uas ini sanggup menunjukkan latihan soal kepada siswa sebelum mereka melaksanakan ujian akhair semester yang sebenarnya. Kerjakan dulu soal yang kamu anggap mudah. Latihan soal ulangan akhir semester 2.

Susunlah kalimat di atas menjadi kalimat yang benar …. Contoh Soal Bahasa Indonesia Kelas 2 Sd Semester 1 Dan 2 Jawaban
Contoh Soal Bahasa Indonesia Kelas 2 Sd Semester 1 Dan 2 Jawaban from quipper.co.id
Joko dan dimas · 2. Contoh soal bahasa indonesia kelas 3 semester 1 dan semester 2 kurikulum 2013 untuk kisi kisi latihan soal uas mid semester berupa soal . Bacalah setiap soal dengan teliti. Soal bahasa indonesia kelas 3 sd dan pembahasan. Periksa kembali pekerjaanmu sebelum diserahkan pada pengawas. Latihan soal ulangan akhir semester 2. Susunlah kalimat di atas menjadi kalimat yang benar …. Latihan soal penilaian akhir semester 2.

Bacalah setiap soal dengan teliti.

Soal bahasa indonesia kelas 3 sd dan pembahasan. Susunlah kalimat di atas menjadi kalimat yang benar …. Joko dan dimas · 2. Contoh soal bahasa indonesia kelas 3 semester 1 dan semester 2 kurikulum 2013 untuk kisi kisi latihan soal uas mid semester berupa soal . Kerjakan dulu soal yang kamu anggap mudah. Latihan soal penilaian akhir semester 2. Bacalah setiap soal dengan teliti. Latihan soal ulangan akhir semester 2. Periksa kembali pekerjaanmu sebelum diserahkan pada pengawas. Dan juga dengan pola soal uas ini sanggup menunjukkan latihan soal kepada siswa sebelum mereka melaksanakan ujian akhair semester yang sebenarnya.

Latihan soal penilaian akhir semester 2. Susunlah kalimat di atas menjadi kalimat yang benar …. Latihan soal ulangan akhir semester 2. Bacalah setiap soal dengan teliti. Dan juga dengan pola soal uas ini sanggup menunjukkan latihan soal kepada siswa sebelum mereka melaksanakan ujian akhair semester yang sebenarnya.

Kerjakan dulu soal yang kamu anggap mudah. Update Soal Uas B Indonesia Kelas 3 Semester 1 Kumpulan Soal Ulangan
Update Soal Uas B Indonesia Kelas 3 Semester 1 Kumpulan Soal Ulangan from 2.bp.blogspot.com
Periksa kembali pekerjaanmu sebelum diserahkan pada pengawas. Latihan soal ulangan akhir semester 2. Contoh soal bahasa indonesia kelas 3 semester 1 dan semester 2 kurikulum 2013 untuk kisi kisi latihan soal uas mid semester berupa soal . Kerjakan dulu soal yang kamu anggap mudah. Dan juga dengan pola soal uas ini sanggup menunjukkan latihan soal kepada siswa sebelum mereka melaksanakan ujian akhair semester yang sebenarnya. Joko dan dimas · 2. Susunlah kalimat di atas menjadi kalimat yang benar …. Latihan soal penilaian akhir semester 2.

Contoh soal bahasa indonesia kelas 3 semester 1 dan semester 2 kurikulum 2013 untuk kisi kisi latihan soal uas mid semester berupa soal .

Latihan soal penilaian akhir semester 2. Latihan soal ulangan akhir semester 2. Contoh soal bahasa indonesia kelas 3 semester 1 dan semester 2 kurikulum 2013 untuk kisi kisi latihan soal uas mid semester berupa soal . Dan juga dengan pola soal uas ini sanggup menunjukkan latihan soal kepada siswa sebelum mereka melaksanakan ujian akhair semester yang sebenarnya. Susunlah kalimat di atas menjadi kalimat yang benar …. Periksa kembali pekerjaanmu sebelum diserahkan pada pengawas. Kerjakan dulu soal yang kamu anggap mudah. Soal bahasa indonesia kelas 3 sd dan pembahasan. Joko dan dimas · 2. Bacalah setiap soal dengan teliti.

Soal Uas Bahasa Indonesia Kelas 3 Sd Semester 2 Ktsp - Soal Uas Bahasa Indonesia Kelas 3 Sd Semester 2 Dan Kunci Jawaban Pdf : Kerjakan dulu soal yang kamu anggap mudah.. Periksa kembali pekerjaanmu sebelum diserahkan pada pengawas. Susunlah kalimat di atas menjadi kalimat yang benar …. Latihan soal penilaian akhir semester 2. Dan juga dengan pola soal uas ini sanggup menunjukkan latihan soal kepada siswa sebelum mereka melaksanakan ujian akhair semester yang sebenarnya. Joko dan dimas · 2.

Posting Komentar untuk "Soal Uas Bahasa Indonesia Kelas 3 Sd Semester 2 Ktsp - Soal Uas Bahasa Indonesia Kelas 3 Sd Semester 2 Dan Kunci Jawaban Pdf : Kerjakan dulu soal yang kamu anggap mudah."